Статус Завершен
Оценочная стоимость без НДС 343 856,13 MDL
Период уточнений: 12 апр 2019, 12:34 - 19 апр 2019, 16:00
Подача предложений: 19 апр 2019, 16:00 - 26 апр 2019, 16:00
Начало аукциона: не будет использоваться

Техническая служба поддержки для поставщиков:

(+373) 79999801


Данная процедура проводится без электронного аукциона. Ваша оферта является окончательной и должна содержать весь список необходимых документов.

Lucrari de reparatie a drumurilor
Информация о заказчике
Наименование
Фискальный код/IDNO
Адрес
5028, MOLDOVA, Floreşti, s.Lunga (r-l Floreşti), satul Lunga, raionul Florești
Веб сайт
---
Контактное лицо
Ф.И.О
burduja galina galina
Контактный номер
069180153
Эл. адрес
Данные о закупке
Дата создания
12 апр 2019, 11:53
Дата последних изменений
7 май 2019, 17:28
Оценочная стоимость (без НДС)
343 856,13 MDL
Achizitii.md ID
21007180
Тип процедуры
Procedură de valoare mică (работы)
Критерии присуждения
Самая низкая цена
Адрес поставки
5028, MOLDOVA, Floreşti, s.Lunga (r-l Floreşti), satul Lunga, raionul Florești
Срок действия контракта
1 июн 2019 12:31 - 30 июн 2019 12:31
Список позиций
1)
Название
Lucrari de reparatie a drumurilor CPV: 45200000-9 - Полные или частичные строительные работы и публичные работы
Количество: 1.0
Ед. измерения: Bucata
Реклама
Документы процедуры закупок
duae.doc
Документация к предложению
DUAE
12.04.19 12:34
anunț de participare.signed.pdf anunț de participare.signed.pdf
tenderNotice
Anunt de participare
12.04.19 12:34
documentatia standard lunga.doc
Документация к предложению
Documentatia standard
12.04.19 12:34
Документы лота
caiet de sarcini.signed.pdf
Caiet de sarcini
12.04.19 12:34

Ниже доступны оферты участников, документы к офертам вы можете посмотреть нажав на иконку папки.

На основе Решения рабочей группы для выбора победителя требуется:

1) Выберите победителя нажав на кнопку признать победителем.

2) Отправить в течении 3 дней на почту AAP bap@tender.gov.md отсканированное решение рабочей группы.

3) После выбора победителя нажмите кнопку: “Принять решение”.

Квалификация участников
Наименование участника
Цена предложения
Статус
1
Наименование участника:

Consap-Flor

Цена предложения: 268 623 MDL
Статус: Дисквалифицирован

Документы типа "Квалификационная документация", "финансовое предложение" и "иллюстрация" будут доступны всем для просмотра только после перехода оферты в статус "на рассмотрении".

Причина: Другие основания для отклонения предложения
Документы квалификации
Документы, поданные с предложением
2
Наименование участника:

CETATCONS

Тендер завершен
Цена предложения: 288 257,18 MDL
Статус: Победитель

Документы типа "Квалификационная документация", "финансовое предложение" и "иллюстрация" будут доступны всем для просмотра только после перехода оферты в статус "на рассмотрении".

Причина: Oferta corespunde tuturor criteriilor
Документы квалификации
Документы, поданные с предложением
3
Наименование участника:

ALDICONS

Цена предложения: 292 277,86 MDL
Статус: Дисквалифицирован

Документы типа "Квалификационная документация", "финансовое предложение" и "иллюстрация" будут доступны всем для просмотра только после перехода оферты в статус "на рассмотрении".

Причина: Другие основания для отклонения предложения
Документы квалификации
Документы, поданные с предложением
4
Наименование участника:

Drumnord-Construct

Цена предложения: 298 314 MDL
Статус: Дисквалифицирован

Документы типа "Квалификационная документация", "финансовое предложение" и "иллюстрация" будут доступны всем для просмотра только после перехода оферты в статус "на рассмотрении".

Причина: Другие основания для отклонения предложения
Документы квалификации
Документы, поданные с предложением
5
Наименование участника:

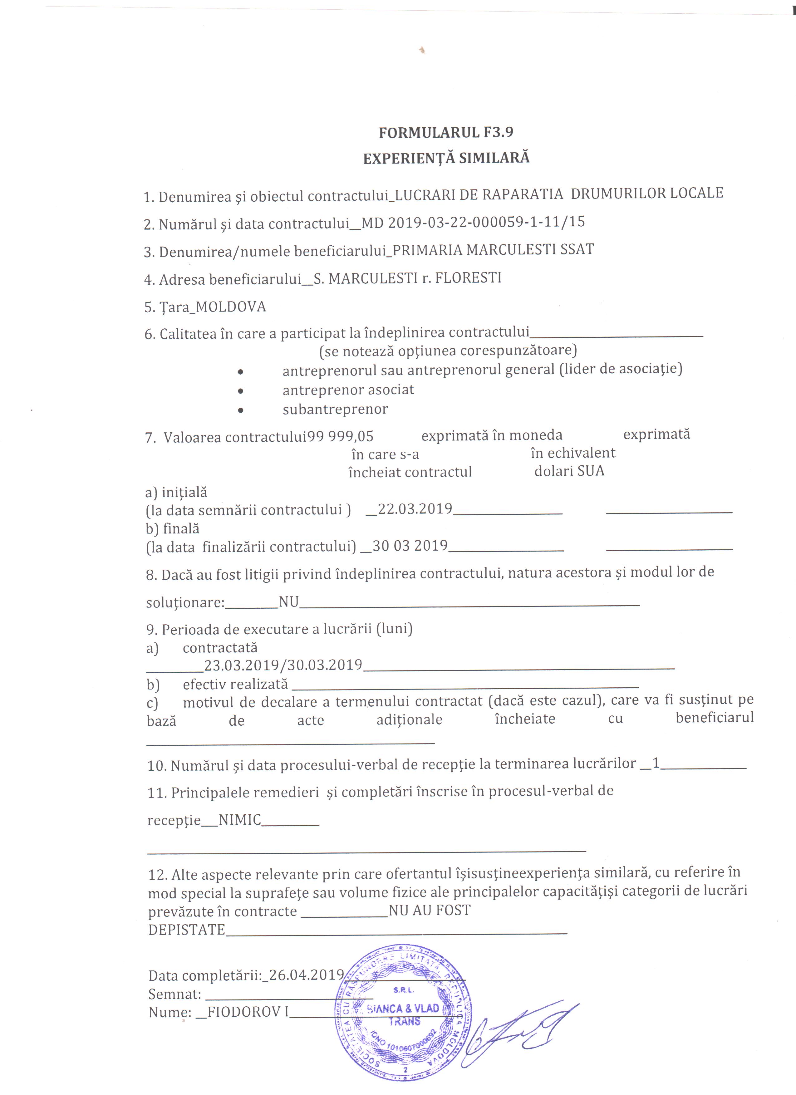
bianca&vladtrans

Цена предложения: 300 000,13 MDL
Статус: Дисквалифицирован

Документы типа "Квалификационная документация", "финансовое предложение" и "иллюстрация" будут доступны всем для просмотра только после перехода оферты в статус "на рассмотрении".

Причина: Другие основания для отклонения предложения
Документы квалификации
Документы, поданные с предложением
6
Наименование участника:

Enelconstruct

Цена предложения: 300 594,47 MDL
Статус: Дисквалифицирован

Документы типа "Квалификационная документация", "финансовое предложение" и "иллюстрация" будут доступны всем для просмотра только после перехода оферты в статус "на рассмотрении".

Причина: Другие основания для отклонения предложения
Документы квалификации
Документы, поданные с предложением
7
Наименование участника:

FLERIXON

Цена предложения: 305 734,02 MDL
Статус: Дисквалифицирован

Документы типа "Квалификационная документация", "финансовое предложение" и "иллюстрация" будут доступны всем для просмотра только после перехода оферты в статус "на рассмотрении".

Причина: Другие основания для отклонения предложения
Документы квалификации
Документы, поданные с предложением
8
Наименование участника:

Staci Grup

Цена предложения: 332 037,40 MDL
Статус: Дисквалифицирован

Документы типа "Квалификационная документация", "финансовое предложение" и "иллюстрация" будут доступны всем для просмотра только после перехода оферты в статус "на рассмотрении".

Причина: Другие основания для отклонения предложения
Документы квалификации
Документы, поданные с предложением
9
Наименование участника:

IPS ”Corsag” SRL

Цена предложения: 342 952,79 MDL
Статус: Дисквалифицирован

Документы типа "Квалификационная документация", "финансовое предложение" и "иллюстрация" будут доступны всем для просмотра только после перехода оферты в статус "на рассмотрении".

Причина: Другие основания для отклонения предложения
Документы квалификации
Документы, поданные с предложением
10
Наименование участника:

Vicoliv Grup

Цена предложения: 354 423,56 MDL
Статус: Дисквалифицирован

Документы типа "Квалификационная документация", "финансовое предложение" и "иллюстрация" будут доступны всем для просмотра только после перехода оферты в статус "на рассмотрении".

Причина: Другие основания для отклонения предложения
Документы квалификации
Документы, поданные с предложением
История аукциона
Просмотр аукциона
К сожалению, вопросы можно задавать только во время периода "Активный".
Разъяснения